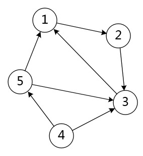
A 国有 n 个城市(编号为 1~n),城市之间修建了 m 条单向的高速公路。请求出从每个城市能到达的编号最大的城市是哪个城市?
例如下图所示的地图,1 2 3 4 5号城市分别能到达的编号最大的城市为:3 3 3 5 5。

第 1 行有 2 个整数 n 和 m,分别代表城市数量和高速公路的数量。(1≤n≤10^5,1≤m≤10^5)
接下来 m 行,每行有 2 个整数 x 和 y,分别代表从 x 号城市到 y 号城市有一条单向的高速公路。(1≤x,y≤n)
输出 n 个整数,用空格隔开,分别代表编号为1 2 3 4 ... n的城市,按照给定的数据,能到达的最大编号的城市。
5 7 1 2 2 3 3 1 4 3 5 3 4 5 5 1
3 3 3 5 5
图论